BLTC logo

Tramiprosate
(Alzhamed, Vivimind)

synthesis

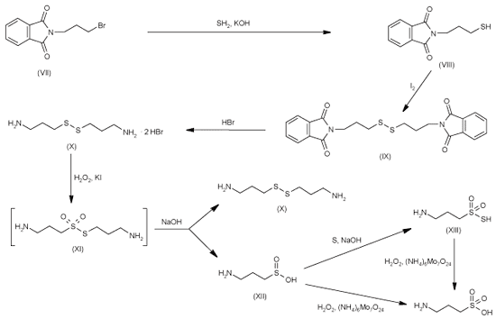
synthesis of tramiprosate / Alzhamed / Vivimind


HOME
Nootropics
BLTC Research
Superhapiness?
Utopian Surgery?
The Good Drug Guide
The Abolitionist Project
The Hedonistic Imperative
The Reproductive Revolution
Critique of Huxley's Brave New World
Alzheimer's Disease: resources/hotlinks

The Good Drug Guide


e-mail
info@tramiprosate.com